在当代社会,制冷技术在人们的生产与生活中发挥着不可替代的作用。在双碳背景下,能源和环境的问题使得发展环保且高效的制冷技术成为迫切需求。新兴的热驱动热声制冷技术采用环保的惰性气体工质,且可不依赖机械运动部件,因此被认为是具有产业化潜力的新一代可持续制冷技术。然而,现有的热驱动热声制冷系统在室温温区的效率较低,提高其热制冷系数(COP)对推进其产业化进程具有重要意义。
在现有的直接耦合型热驱动热声制冷系统(图1 (A))中,较合适的行波声场和较紧凑的耦合方式使得其在一定温度范围内能取得不错的制冷性能,在标准空调制冷工况(环境温度35 °C,制冷温度7 °C,下同)下其COP可超过0.4。然而其中的发动机与制冷机的功流匹配问题限制了更高加热温度下系统效率的进一步提升。近期,理化所低温制冷与特种动力技术研究中心罗二仓研究员领导的热声研究组提出了一种功流旁通型制冷流程,如图1 (B) 所示,在发动机和制冷机之间增加一个旁通结构,使得部分声功绕过发动机而直接进入制冷机,通过调节旁通的功流比例,在不同加热温度下均可实现发动机和制冷机之间的良好功流匹配,在高加热温度下使得系统的COP大幅度提升。研究组成员搭建了一台三单元行波环路型系统,并采用液体振子进一步降低系统工作频率和损失。前期的实验研究表明当加热温度为450 °C时,在标准空调制冷工况下系统获得的COP可达1.12,大幅度超过当时报道的同类型系统的最好结果。该工作成果入选2024年中国科学院英文网站第一季度亮点专题。

图1. (A) 传统直连型热驱动热声制冷系统;(B) 新型功流旁通型热驱动热声制冷系统

图2. 2024年中国科学院英文网站第一季度亮点专题
本次实验中改进了室温换热器的换热效果和高温换热器结构强度。实验表明,当采用5.4 MPa的氦气作为工质时,改进后的系统可在550 °C的加热温度下较长时间稳定运行,其在标准空调制冷工况下的COP达到1.34,整机的相对卡诺效率达到21.4%,制冷功率为2.37 kW。该COP刷新了室温热驱动热声制冷系统的新纪录,可媲美双效吸收式制冷系统。相关工作以Sustainable heat-driven sound cooler with super-high efficiency为题发表在期刊The Innovation Energy上,并被选为封面导读内容。论文第一作者为理化所博士研究生肖磊,通讯作者为理化所罗二仓研究员与吴张华高级工程师。

图3. (A) 制冷功率与 (B) COP 随加热温度的变化
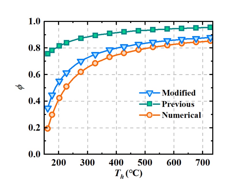
此外,在理论方面,文中还给出了更接近实际情形的旁通比(旁通功流与总功流的比值)的表达式,新导出的表达式比前期的理想表达式的准确度显著提升,进一步加深了对功流旁通型系统的运行机理的理解。

图4. 旁通比的前期理论结果、修正理论结果与数值计算结果的对比
该研究工作得到国家自然科学基金 (Grant No. 51976230)、低温科学与技术重点实验室(CRYO20230103) 等项目的支持。
文章链接:https://doi.org/10.59717/j.xinn-energy.2024.100027
2024年中国科学院英文网站第一季度亮点专栏:https://english.cas.cn/Special_Reports/2024q1/
新闻中心