当前位置 >>  首页 >> 新闻中心 >> 科研进展

科研进展

理化所提出基于二维层流膜体系实现高效限域流动反应策略

稿件来源: 发布时间:2023-02-20

  流动化学具有低污染、快速、安全、简单等优点。在微型反应器中负载非均相固体催化剂实现流动反应是目前最常见的实验方案,然而,在相对温和条件下实现快速高效流动反应仍然是一个挑战。具有连续可调二维纳米通道的功能化氧化石墨烯膜在分子/离子快速传输领域已经展现出巨大的潜力。层间纳米限域通道理论上是非常适合流动反应的微空间,通道内的纳米限域效应对化学反应活性也具有重要的影响。 

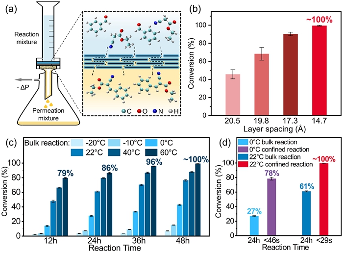
   为此,理化所江雷院士团队提出将纳米限域效应与流动化学相结合,基于二维层流膜体系,实现高效限域流动反应的策略。团队构建了多层氨基化氧化石墨烯(GO-NH2)膜反应器(图1a),并通过热处理(80-120℃),调控GO-NH2膜反应器的层间距(20.5-14.7)。以Knoevenagel缩合反应为例,随着膜层间距减小,反应转化率逐渐增加(图1b,当膜层间距减小至14.7时,在温和条件下(22℃)实现了~100%转化率(膜内停留时间<29 s)。相比之下,研究者以GO-NH2粉末作为异相催化剂催化相同量级的体相反应,发现体相反应在60℃条件下需要较长的反应时间(>36 h)才能实现~100%转化率(图1c-d)。 

  

1 限域流动反应与体相反应比较 

  研究者进一步通过调节压差和膜内停留时间、改变反应温度和浓度、扩展底物分子等对比实验,证明了限域流动反应比体相反应具有明显的优势。机理研究表明层间限域增强了反应物前线轨道对称性的匹配(图2a)。相比于体相反应,膜催化剂的表征和DFT计算表明,GO-NH2纳米片表面石墨域的离域π电子参与了反应物分子的去质子化过程,降低了整体的限域反应能级(图2b-c)。同时,分子在限域通道内快速传输,降低了分子在溶液中的无序扩散,缩短了反应时间,最终实现了快速高转化率的限域流动反应。这项工作为在温和条件下构建高转化率的流动催化体系提供了新的思路,有望用于未来的管式膜反应器。 

  

2限域流动反应与体相反应过程的DFT计算 

  该工作近日以Regulating Interlayer Spacing of Aminated Graphene Oxide Membranes for Efficient Flow Reactions为题发表在Matter杂志上。文章的第一作者为中科院理化所博士生庞帅、华南师范大学彭导灵教授和北京印刷学院郝雨薇博士,通讯作者为中科院理化所张锡奇副研究员。上述工作得到了江雷院士的悉心指导,上海理工大学宋波教授在理论计算方面提供了重要支持。研究得到了国家重点基础研究发展计划(2021YFA12004022018YFA0208502)、国家自然科学基金(5197322721988102)和中科院青年创新促进会项目的支持(2020028)。 

    

  文章链接:https://doi.org/10.1016/j.matt.2023.01.020 

 

附件: