近一个世纪以来,半导体凭借其性能优势及产业带动作用,在推动现代科学、技术和社会进步方面一直发挥着极为重要的作用。发展至今,半导体行业主要由四代材料驱动。第一代以硅和锗为代表,始于20世纪50年代;第二代以砷化镓(GaAs)和磷化铟(InP)等为主,出现于20世纪80年代;第三代主要是氮化镓(GaN)和碳化硅(SiC),可追溯到20世纪末;第四代则以兴起中的氧化镓(Ga2O3)为代表。半导体行业作为资本、人力和技术最为密集的制造业,迄今为止几乎所有经典的半导体生长技术,如分子束外延(MBE)、脉冲激光沉积(PLD)、金属有机化学气相沉积(MOCVD)和原子层沉积(ALD)等,均严重依赖于高温处理和苛刻的真空条件、水电资源,一个芯片制程往往涵盖数十道复杂工序,涉及从最初晶片生产到生产线上的切割乃至最终的封装、检查和测试等,环节中发生的任何错误都将导致最终晶片报废以及随后引发的巨大损失。
当前,随着信息技术的飞速发展,对高功率、高频率微电子器件提出了前所未有的需求。具有先天性能优势的宽禁带半导体材料脱颖而出,以氮化镓(GaN)和碳化硅(SiC)为代表,正凭借其大幅降低电力传输中能源消耗的显著优势,在功率器件和射频器件领域大放异彩,成为全球半导体行业的研究焦点。而作为新型超宽禁带半导体材料氧化镓的出现也为此带来了新风向,由此制成的功率器件具有高耐压、低损耗、高效率、小尺寸等特点,应用范围极广。由于这些因素,第三代、第四代半导体技术成为国际热点和大国技术竞争的制高点。
传统的Ga2O3制造通常受制于高昂的设备成本、复杂的前驱体配置及较低的生长速率问题,使得大规模、低成本及高效率生长Ga2O3材料面临极大挑战。而对于半导体而言,要实现大规模应用一般需要p型和n型共同存在,以形成p-n结从而制造MOS、IGBT等功能器件。然而当前Ga2O3仅有n型材料,p型Ga2O3材料极度欠缺,限制了对功率更高、散热性更强、稳定性更好的大功率器件的实现。针对这一现状,中科院理化所液态金属与低温生物医学研究中心提出了全新的解决方案,首次建立了n型及p型掺杂Ga2O3的一步低温大面积印刷技术(图1)并获得成功。与传统方法不同,在此新工艺中,半导体的合成与掺杂同时发生,由此省去了多步掺杂工艺的繁琐性和复杂度,整个过程全部在较低温度下完成。团队采用此工艺从液态金属GaInSnCu合金表面熔体中成功获得了大面积高质量的Cu掺杂p型Ga2O3。基于印刷的p- Ga2O3薄膜构建的场效应晶体管(FET)展现出优异的电学性能、p导电性以及环境稳定性(图2)。此外,通过对印刷的p型和n型Ga2O3进行等离子体处理,进一步提高了Ga2O3表面的电子浓度,在无需传统额外的高温退火处理情况下成功实现了p型及n型Ga2O3的良好欧姆接触。研究首次展示了高性能全印制Ga2O3 p-n同质结二极管(图3),并证实其具有优秀的整流效应。这一变革性的低温一步合成及掺杂Ga2O3半导体薄膜印制工艺,为Ga2O3半导体材料及Ga2O3基电子功能器件的大面积、高质量、规模化可控制备提供了便捷、高效、低成本的新策略。相应工作近日以Liquid metal gallium-based printing of Cu-doped p-type Ga2O3 semiconductor and Ga2O3 homojunction diodes为题发表于Applied Physics Reviews上并被选为期刊亮点文章(Featured article),文章共同第一作者为理化所助理研究员李倩和博士后杜邦登,通讯作者为刘静研究员。
在稍早一些时候,该小组还从有别于第三代半导体传统高温制造策略的途径出发,建立了在室温下大面积印刷宽禁带超薄GaN半导体的限域氮化反应原理,其具有广泛的适应性,可印制厚度从1 nm到20 nm以上的GaN二维薄膜材料继而构筑晶体管,相应工作以Room-temperature printing of ultrathin Quasi-2D GaN semiconductor via liquid metal gallium surface confined nitridation reaction为题发表于期刊Advanced Materials Technologies并被选为内封面故事(图4)。文章共同第一作者为李倩助理研究员和杜邦登博士后,通讯作者为刘静研究员。作为领域内的首次试验,研究小组通过引入等离子体介导,使得室温印刷液态金属镓的受限氮化反应成为可能(图4),实现了最薄达1nm的半导体薄膜的大面积印制,作者们将基于这种技术路径生长GaN的全新化学反应定义为:
。正如几乎是自然界中的铁律,氮一直被视为经典的惰性气体,即使在高温下也无法与镓直接发生反应。新发现改变了学术界的传统认识,使得镓的室温氮化反应成为现实,在无需复杂前驱体配置及高昂设备的情况下实现了性能优良的晶体管的直接印制(图5)。传统上,制备GaN薄膜的经典方法通常需要极高的温度,例如MOCVD(约950°C-1050°C)和ALD(>250°C),同时,有毒物质往往难以避免,要实现1nm厚度GaN半导体薄膜存在巨大技术挑战。室温印制GaN薄膜技术的出现大大节省了第三代半导体工艺的制备成本和能耗,这意味着半导体制程可望迎来一个新的开端,这对于半导体制造行业中的节能减排也具有重要现实意义(Liquid metal printing opening the way for energy conservation in semiconductor manufacturing industry, Frontiers in Energy, 2022)。
理化所团队自本世纪初以来长期耕耘于液态金属物质科学领域,曾于国内外最早提出了液态金属印刷电子学与印刷半导体的理念与技术途径(Direct writing of electronics based on alloy and metal ink (DREAM Ink): A newly emerging area and its impact on energy, environment and health sciences, Frontiers in Energy, vol.6(4), pp. 311-340, 2012),相应技术也被命名为DREAM Ink(也称梦之墨技术)。研究小组前瞻性提出的基于液态金属印刷与后续处理(如氧化、氮化、离子注入和更多化学修饰,以及激光、微波或等离子体等辅助)制造半导体如Ga2O3、GaN、In2O3、SnO等乃至更多衍生材料、二极管、晶体管、功能器件及集成电路的基本技术路线,近年来逐一得到证实,所研发的有关液态金属电子制造装备及电子材料产品还逐步实现了规模化工业应用及普及。
总的说来,新兴的液态金属印刷电子及半导体技术为下一代电子器件、集成电路乃至用户端芯片的快速成型开辟了一条全新途径,可望给半导体制造业注入新的活力。今后,随着液态金属印刷半导体材料家族的不断扩大及对应制造方法的完善和丰富,将促成新一代低成本与节能降耗绿色制造技术、电子显示、集成电路、芯片制造、光伏发电、功率器件及新能源汽车等的迭代和进步,预计会带来重要的产业变革。

图1 基于液态合金GaInSn和GaInSnCu实现n-Ga2O3及p-Ga2O3印刷工艺原理

图2 全印刷Cu掺杂p型Ga2O3晶体管的电学性能

图3 印刷Ga2O3 p-n同质结二极管性能

图4 文章内封面故事及室温制造GaN半导体的限域氮化反应原理与装备

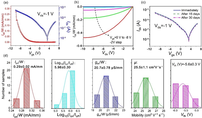
图5 印刷GaN场效应晶体管电学性能
论文链接:
Applied Physics Reviews:https://aip.scitation.org/doi/10.1063/5.0097346
Advanced Materials Technologies: https://doi.org/10.1002/admt.202200733
Frontiers in Energy: https://journal.hep.com.cn/fie/EN/10.1007/s11708-022-0834-8
新闻中心